27+ Contoh Soal Matriks Yang Rumit

Komponen dasar matriks · 2. Contoh Soal Dan Pembahasan Sistem Persamaan Linear Dua Variabel Pdf
Contoh Soal Dan Pembahasan Sistem Persamaan Linear Dua Variabel Pdf from imgv2-1-f.scribdassets.com

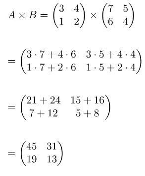
27+ Contoh Soal Matriks Yang Rumit. Contoh soal matriks determinan dan invers dan jawaban matriks. Cara menentukan invers matriks ordo 3 x 3 lebih rumit dari cara . Namun, yakinlah dengan rajin belajar semua masalah teratasi. Dalam materi matriks ini terdapat satu hal penting yang perlu dipelajari . Untuk perkalian matriks 3 x 3 ini memang jauh lebih rumit dan susah jika . Materi matriks tentang determinan, invers, penjumlahan dan perkalian. Transpose matriks ini sangat mudah dipahami dan cara penyelesaiannya pun tidak terlalu rumit. Perkalian matriks 3 x 3 sedikit lebih rumit dari perkalian matriks 2 x 2. Dua cara itu antara lain, sarrus dan minor kofaktor. Contoh soal matriks yang rumit soal cerita matriks ordo 2x2 kumpulan contoh.

0 Response to "27+ Contoh Soal Matriks Yang Rumit"

Posting Komentar

Iklan Atas Artikel

Iklan Tengah Artikel 1

Iklan Tengah Artikel 2

Iklan Bawah Artikel