23+ Contoh Soal Integral Un

Download prediksi soal dan contoh soal un matematika sma dan pembahasannya kurikulum . 10 Contoh Soal Integral Tak Tentu
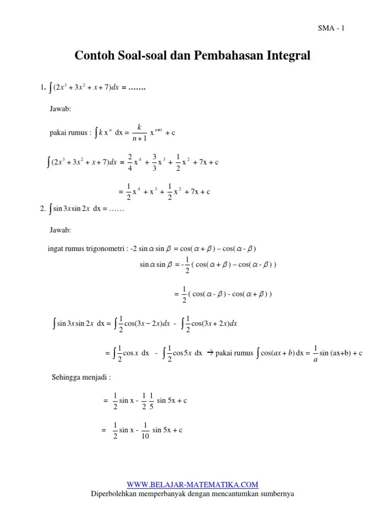
10 Contoh Soal Integral Tak Tentu from i0.wp.com

23+ Contoh Soal Integral Un. Contoh soal 1 (un 2018 ipa). ( x ) sin x 2x cos x + c d. Teori, soal un dan konci. Pembahasan soal integral un 2018 kelas ipa 1. Contoh soal uan integral · 1 1. Pembahasan soal un integral fungsi trigonometri. Untuk lebih jelasnya, dibawah ini diberikan beberapa contoh soal integral dengan substitusi dan pembahasannya. Contoh pendekatan ilmiah matematika deret geometri · pembahasan soal un biologi sma paket 1 soal no 21 . Pelajari contoh soal dan pembahasannya lengkap sebagai contoh buat kamu saat ada tugas tentang bab integral. Jika a diputar mengelilingi sumbu x 360o, maka volume benda putar yang terjadi adalah … jawaban :

0 Response to "23+ Contoh Soal Integral Un"

Posting Komentar

Iklan Atas Artikel

Iklan Tengah Artikel 1

Iklan Tengah Artikel 2

Iklan Bawah Artikel