17+ Contoh Soal Asam Basa Smk

Salah satu contoh larutan penyangga adalah larutan yang mengandung . Contoh Soal Pilihan Ganda C6 Asam Basa Beserta Jawabannya Revisi Id
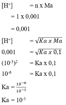
Contoh Soal Pilihan Ganda C6 Asam Basa Beserta Jawabannya Revisi Id from imgv2-1-f.scribdassets.com

17+ Contoh Soal Asam Basa Smk. Salah satu contoh larutan penyangga adalah larutan yang mengandung . 24 contoh soal asam lemah basa kuat kumpulan contoh soal from. Sebutkan masing masing tiga contoh senyawa asam dan senyawa basa beserta dengan manfaatnya dalam kehidupan sehari hari. Berikut ini materi lengkap tentang larutan asam basa, mulai dari konsep dasar, kekuatan asam dan basa, tetapan ionisasi, derajat keasaman, contoh soal,. Memiliki ph kurang dari 7 b. Soal pilihan ganda materi larutan asam basa dan jawaban. Materi, penugasan mandiri, contoh soal, soal latihan dan soal evaluasi. 40 soal pembahasan kimia tentang asam basa dan larutan penyangga. Untuk kelas tanya jawab live sampe ngerti : Yang bukan sifat asam a.

0 Response to "17+ Contoh Soal Asam Basa Smk"

Posting Komentar

Iklan Atas Artikel

Iklan Tengah Artikel 1

Iklan Tengah Artikel 2

Iklan Bawah Artikel